El Geraniol puede encontrarse en los ingredientes de desodorantes, perfumes, productos de limpieza y numerosos cosméticos. Este terpeno está presente de forma natural en algunas variedades de marihuana, aportando complejidad y profundidad a sus aromas.
Además de su magnífica fragancia, el Geraniol podría tener un potencial clínico único, dado que también podría actuar sinérgicamente con otros compuestos del cannabis mediante el efecto séquito.

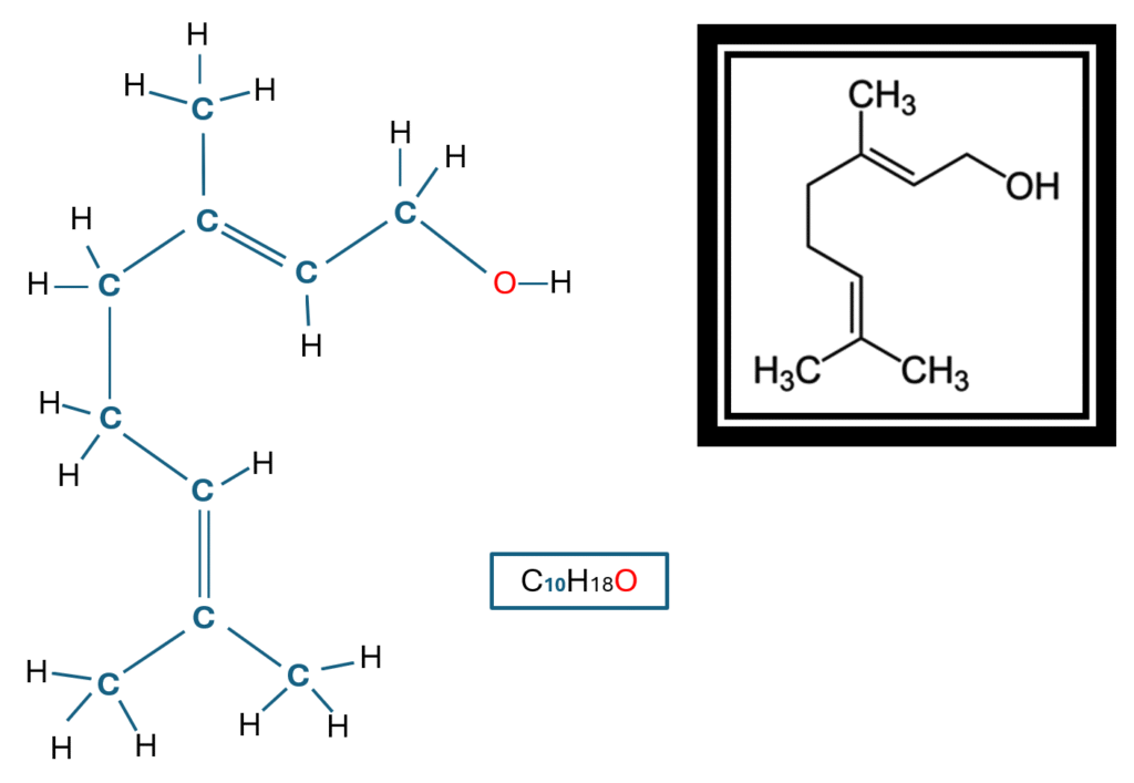
La Química del Geraniol
Al igual que el Mirceno, Limoneno y Linalool, el Geraniol es un monoterpeno, es decir, el tipo más pequeño y frecuente de terpenos del cannabis. A diferencia de los sesquiterpenos, los monoterpenos solo tienen dos unidades de isopreno.
El Geraniol tiene una estructura química de C₁₀H₁₈O y contiene dos unidades de Prenilo y un grupo Hidroxilo (OH). Con una masa molecular de 154,253 g·mol−1 y un punto de ebullición de 230°C (446 °F), el Geraniol es un compuesto bastante volátil; característica propia de los monoterpenos.

Aroma y sabor del geraniol
El Geraniol tiene mucho aroma y sabor. Aunque su olor es más bien floral y similar al de las rosas, también tiene matices cítricos y afrutados que recuerdan a melocotones, frutos del bosque, manzanas, fruta de hueso, melón y piña.
Su sabor es similar a lo antes mencionado, aunque notablemente más floral. Pero las variedades de marihuana ricas en Geraniol suelen tener aromas dulces y afrutados, junto con matices cítricos y de citronela.
Efectos del geraniol
Aunque es difícil determinar los efectos específicos del Geraniol en la marihuana, este terpeno suele asociarse a efectos calmantes a nivel corporal y efectos estimulantes a nivel anímico.










