Carene or delta-3-carene is one of the numerous Terpenes found in the cannabis plant and other vegetation.

This Terpene acts synergistically with the rest of the plant’s components to provide organoleptic qualities.

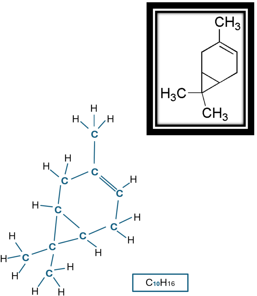
Carene Chemistry

It is a monoterpene, meaning it is a combination of two isoprenes; Delta-3-carene consists of 10 carbon atoms.

Carene is found in a liquid state at room temperature and is colorless to yellowish. Its boiling point is 170°C (338°F).

Although it is among the most common Terpenes, it is not one of the most abundant. However, Carene’s qualities synergize with those of the other Terpenes and other components of the plant, providing each variety with unique properties.

Carene Flavor and Aroma

Carene’s aroma is Cedar, Pine and woody wirh sweet and slightly spicy notes.

It’s flavor is quite cutrusy and can be found in various plants such as Grapes, Rosemary, Oranges, Cedar, Pime, Lemons and cannabis.

Carene Effects

Carene’s effects are to eliminate excess fluids in the body. For example: tears, nasal congestion and saliva. In fact, it’s likely to be the responsible for the dry mouth and eye irritation that occurs when we smoke.