El contenido de Bisabolol en la marihuana no es muy alto en comparación con el de otros Terpenos como el Cariofileno, Pineno y Limoneno, pero aún así, este terpeno secundario aporta notas de tierra, flores y vainilla a muchas variedades.

Química del Terpeno Bisabolol
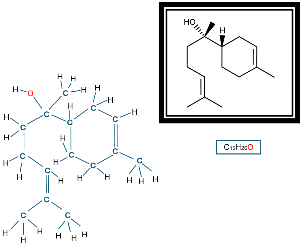
El Bisabolol es una molécula más grande que otros Terpenos, y por eso entra en la categoría de los sesquiterpenos. Estos compuestos están formados por tres unidades de isopreno y poseen un total de 15 átomos de carbono, con una fórmula química de C₁₅H₂₆O.
Este terpeno tiene varios isómeros diferentes: que son moléculas con los mismos átomos pero dispuestas de diferentes formas. El α-bisabolol es el más común y el mejor estudiado de estos compuestos, y puede tener la forma de dos enantiómeros diferentes: (+)-α-bisabolol y (-)-α-bisabolol (también conocido como levomenol). Otros isómeros incluyen el β-bisabolol y el isómero A del Bisabolol.
Además de su presencia en ciertas variedades de marihuana, el Bisabolol también está en otras partes de la naturaleza, como la manzanilla, la salvia, el pachuli y algunas variedades de lavanda.

Aroma y sabor del Bisabolol
El Bisabolol es un terpeno menor del cannabis, por lo que está presente en concentraciones mucho más bajas que los terpenos principales, como el Limoneno y el Mirceno, sin embargo, el α-Bisabolol aporta sabores y aromas a algunas variedades de marihuana.
Los aromas del Bisabolol se pueden dividir en tres categorías. Las más dominantes de su perfil son las notas dulces y florales de manzanilla. Luego ofrece otros aromas secundarios, que también son dulces, con matices de miel y vainilla. Por último, su perfil se completa con toques de frutas, frutos secos y pimienta.
Su sabor es muy parecido a su aroma, con notas dulces, florales, herbales y terrosas.

Efectos de la marihuana asociados al Bisabolol
Además de aportar sabores y aromas muy agradables a algunas variedades de marihuana, el Bisabolol también puede influir directamente en sus efectos.
Aunque los cannabinoides THC Y CBD son los principales responsables de los efectos de determinadas variedades de marihuana, los Terpenos son capaces de establecer una relación sinérgica con los cannabinoides y dirigir los efectos en determinadas direcciones.
En general, el Bisabolol ejerce un efecto físico calmante y relajante. Todavía no se ha descubierto si el Bisabolol se une directamente a los receptores del sistema endocannabinoide de la misma manera que el THC, pero se sabe que tanto el Bisabolol como el THC activan los canales de calcio tipo T, que son los objetivos de los medicamentos destinados a combatir el dolor y otros síntomas neurológicos, lo que sugiere una posible relación sinérgica a nivel molecular.









